March 31, 2026 — Researchers have introduced a new algorithmic framework for orchestrating collaborative AI agents and critics in a federated, multi-agent system. The work, published on arXiv, provides formal convergence guarantees for a system where agents perform tasks and critics provide feedback, all while keeping their internal cost functions private. The architecture is designed for multimodal tasks like network fault detection and healthcare diagnostics, with communication overhead scaling only with the number of modalities, not the number of agents.
What the Researchers Built
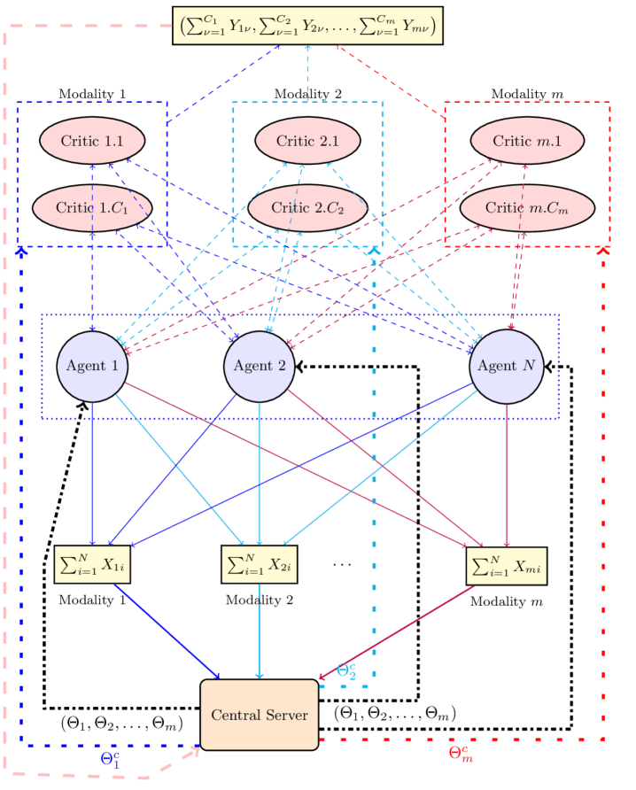
The paper, "Collaborative AI Agents and Critics for Fault Detection and Cause Analysis in Network Telemetry," proposes a multi-actor, multi-critic federated multi-agent system. In this framework:
- AI Agents are tasked with completing specific assignments (e.g., analyzing network logs for anomalies).
- AI Critics evaluate the agents' outputs and send feedback for improvement.
- A central server coordinates the collaboration but does not have access to the agents' or critics' private cost functions or their derivatives.
Critically, there is no direct communication between agents or between critics. All coordination flows through the central server. This design enforces privacy and reduces coordination complexity. Each actor—whether an agent or a critic—can be powered by its own machine learning model, ranging from classical algorithms to modern generative AI foundation models.
The Core Algorithm and Guarantees
The researchers employ multi-time scale stochastic approximation techniques to analyze the system's behavior. They provide convergence guarantees on the time-average active states of both the AI agents and the AI critics. This means the algorithm provably drives the collective system toward a stable operating point where the collaborative process minimizes an overall system cost.

A key technical contribution is the scaling property of the communication overhead. The paper states that the communication burden on the system is of the order O(m), where m is the number of modalities involved in the task (e.g., text, image, telemetry data). This overhead is independent of the number of AI agents and critics, a crucial feature for scalability in large, distributed deployments.
Application: Network Telemetry Fault Analysis
The paper presents a concrete use case: fault detection, severity assessment, and cause analysis in network telemetry systems. In this scenario:
- AI Agents might analyze different streams of telemetry data (packet loss, latency spikes, routing tables) to detect potential faults.
- These detections are sent to AI Critics, which evaluate the likelihood and severity of the proposed fault.
- Critics send feedback to the agents, which can refine their analysis (e.g., gather more specific data, adjust confidence thresholds).
- The collaborative loop continues, privately and without inter-agent chatter, until a consensus on the fault's nature and root cause is reached.

The federated nature of the system allows different network segments or service providers to participate with their own agents without exposing their proprietary cost models or data.
Key Technical and Practical Implications
Architecture Federated, Multi-Actor, Multi-Critic Enables private, decentralized collaboration. Communication O(m), independent of # of agents/critics System scales efficiently with more participants. Privacy Cost functions & derivatives kept private Participants retain proprietary model details. Convergence Guarantees provided via stochastic approximation Predictable, stable system behavior. Task Scope Multimodal (telemetry, images, text, video) Framework is not limited to a single data type.
What This Means in Practice: For an enterprise managing a vast network, this framework could enable different DevOps teams or even external vendors to deploy specialized diagnostic agents. These agents would collaborate through a central orchestrator to pinpoint complex, multi-faceted failures faster, without any team having to reveal the inner workings of their proprietary monitoring algorithms.
gentic.news Analysis
This research arrives amid a significant week for AI agent discourse on arXiv and in the broader community. The paper's focus on a structured, critic-based feedback loop for agents aligns with the industry's push beyond simple, single-agent workflows toward orchestrated, multi-agent systems. However, it notably diverges from the prevailing trend highlighted just days ago, when Wharton professor Ethan Mollick declared the 'end of the RAG era' as the dominant paradigm for agents. Where Mollick pointed toward more autonomous, goal-directed agents, this work formalizes a tightly-coupled, collaborative system with explicit evaluation layers.
The emphasis on privacy-preserving federated learning and provable convergence addresses two critical barriers to production deployment. Our recent reporting has shown that 86% of AI agent pilots fail to reach production, often due to unpredictability and integration challenges. By offering mathematical guarantees on system state convergence, this work directly tackles the "black box" reliability concern that plagues many agentic systems.
Furthermore, the paper's appearance is part of a clear trend this week. arXiv has been referenced in 49 articles in the past seven days, and AI Agents as a topic has appeared in 22. This paper contributes to a growing body of formal, algorithmic research seeking to ground the explosive practical interest in agents with rigorous theory. It complements other recent arXiv posts we've covered, such as "The Self Driving Portfolio: Agentic Architecture for Institutional Asset Management," by providing a generalizable control framework that could underpin such domain-specific applications.
Frequently Asked Questions
How does this AI agent/critic system differ from reinforcement learning?
While both involve agents and feedback, this framework is not necessarily rooted in RL's reward maximization over time. Here, "critics" are distinct entities that evaluate a task output and provide direct feedback, akin to a reviewer. The system's goal is to minimize a collective cost function through this collaborative review process, with convergence guaranteed via stochastic approximation techniques, which is a different analytical approach than typical RL policy convergence.
What does "O(m) communication overhead" mean for scalability?
The notation O(m) means the communication load on the central server scales linearly with the number of modalities m (e.g., text, image, data streams). Crucially, it does not scale with the number of agents or critics. If you have 10 modalities and add 100 more agents, the communication overhead remains proportional to 10, not 110. This makes the system highly scalable for deployments with thousands of participating agents.
Can this system work with existing foundation models like GPT-4 or Claude?
Yes, the paper explicitly states that each AI agent or critic can have access to generative AI foundation models. The framework is agnostic to the underlying model. An agent could be a fine-tuned LLM analyzing log files, while a critic could be a vision model assessing medical images. The central algorithm manages the collaboration between these heterogeneous models.
What is the main advantage of keeping cost functions private?
Privacy allows different organizations or departments to participate without revealing their proprietary algorithms or business logic. In the network telemetry example, a cloud provider and a hardware vendor could both contribute diagnostic agents. They collaborate to find a fault, but neither learns the other's internal cost model for fault detection, preserving competitive advantage and intellectual property.









